近日,#你以为是身材缺陷其实是健康表现#话题登上微博热搜,引发网友关注。

微博截图
在日常生活中,我们常常被各种身材标准所裹挟:腿要细、肩要窄、皮肤要光滑……也会因此将自己的不同视为“不足或缺陷”。然而,许多被忽视甚至嫌弃的身体特征,其实恰恰暗藏着健康优势,可能正是身体为你留下的保护措施。
1.体毛旺盛:明显的身体毛发
体毛旺盛指一个人身体毛发较为浓密明显的特征,包括四肢体毛较重,男性的胸毛、女性的小臂或小腿汗毛可见等。人体的毛发分为粗厚的终毛(如腋毛、阴毛、男性胸毛等)和细软的毳毛,两者覆盖全身大部分皮肤。
现代审美常推崇光滑无毛的皮肤,尤其对女性而言,浓密的体毛常被认为不雅观或不够女性化,不少人会因为社交压力而选择脱毛。
然而,正常毛发不仅是外貌的重要组成部分,还承担着多重积极作用[1]:
它能保护头皮免受紫外线和轻微损伤,睫毛和眉毛帮助阻挡灰尘、汗水进入眼睛;
在体温调节中,毛发可在寒冷时保温、炎热时辅助汗液蒸发散热;
毛囊周围的神经末梢使毛发成为敏锐的触觉传感器,能感知环境变化并触发保护反应。
2.粗大腿围:较大的大腿围度
大腿较粗通常指大腿根部周长较大,可能由于肌肉发达或皮下脂肪较多所致。
当代时尚常以细长的腿部为美,因此,大腿粗壮常被误认为是肥胖、不够苗条的象征。一些人尤其女性可能因大腿粗而自卑,认为这是身材上的缺陷。
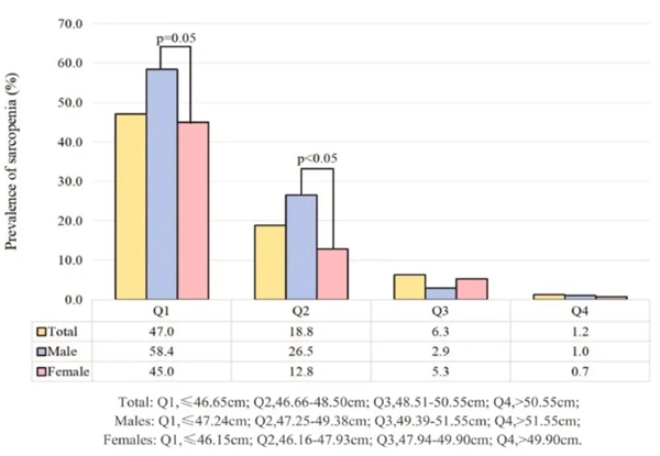
医学研究表明,大腿围度较大其实与多项健康指标向好相关。流行病学研究[2]显示,大腿围与全因死亡率和心血管死亡率呈显著负相关;而且对老年人更有意义,大腿围超过 50 厘米的老人,发生肌少症的几率比大腿围不足 46 厘米的人低了约 90% 以上。[3]

根据大腿周长分组的肌肉减少症患病率
3.大骨架与宽肩膀:骨骼粗壮的体型
骨架大指肩膀较宽、骨骼尺寸较大、胸腔骨架宽厚的体型。
女性以窄肩细骨架为优雅,有大骨架的人容易被误认为胖或不够苗条,自己也会觉得缺乏柔美;男性有时也会因为骨架大而显得魁梧过度显得笨重,因而被视作身材缺陷。
其实科学研究告诉我们,这样的体型恰恰有其健康意义。比如,一项对苏格兰 2201 名成年男性的研究[3]发现,每增加 1 厘米的胸宽,瘦体重相应增加约 3.7 公斤,即有更高比例的肌肉和骨量。
另一项基于 Fels 纵向研究[4]的数据也显示,肩宽、髋宽、膝宽等骨架指标与全身的肌肉量和骨矿物含量呈显著正相关,男女都不例外。
这种可供老年时“消耗”的骨量储备更多,降低骨质疏松的风险。
4.小胸围:较小的乳房尺寸
小胸围指女性乳房体积小、罩杯较小的体型特征。一些人认为,大乳房丰满好看,而小乳房“不够性感”。但医学研究提示,乳房越大,对身体的负担其实越重。
脊柱外科领域的综述[5]明确提到,乳房重量过大可使身体重心前移,增加胸椎前屈力矩,迫使背部肌肉长期紧张,最终引发轴性背痛和肌肉疲劳;乳房缩小手术可使 84.6% 的患者背痛得到改善,并减少腰椎的压缩负荷。
另一项纳入了 25 项研究、共 3799 名女性的神经科综述[6]表明,巨乳症与头痛、颈肩痛、胸椎后凸以及上肢麻木等症状高度相关。术前头痛的患病率差异很大(2%–89%),但术后有 34%–100% 的患者头痛得到缓解。
从肌肉骨骼角度看,2019 年的一篇文献综述[7]总结了多项研究,发现乳房较大的女性普遍表现出胸椎后凸加重、肩关节活动度下降、肩胛耐力减弱,并伴随更高的上躯干疼痛评分。
这意味着大乳房更容易引起驼背样的姿态改变,而小乳房更有利于保持自然挺拔的体态。因此,小乳房并非缺陷,反而可能是身体轻盈、脊柱健康的潜在保护因素。
5.容易出汗
许多人将“大汗淋漓”视为尴尬的形象缺陷,认为出汗多不体面,也担心自己是不是身体差。
事实上,生理学研究提示,容易出汗往往是体温调节系统灵敏、运动适应能力良好的体现。
一项针对 20 名精英自行车运动员的热适应研究[7]发现,经过 5 周的训练,运动员的出汗率平均增加了 0.44 升/小时,同时汗液钠浓度显著下降,运动耐热性和运动表现均得到提升。这说明汗腺分泌增强并非“流失能量”,而是人体通过高效出汗来快速散热,并且通过降低汗液盐分来节约电解质。

左:出汗率 右:每个HEAT参与者的时间表
另一项 10 天热适应实验[8]同样发现,局部出汗率提高 36%–58%,而汗液中的钠、氯和乳酸浓度下降至初始水平的 60% 左右,这种“多出汗、少流失盐分”的模式,正是汗腺功能优化的表现。
综述性研究也强调了出汗的重要性。正常而充足的汗液蒸发是人体最关键的散热方式,缺乏出汗功能会让核心体温迅速升高,增加热衰竭和热射病风险。[9]
综合分析超过 200 篇相关文献的荟萃研究[10]进一步表明,热适应过程中全身出汗率平均增加 163 毫升/小时,核心温度和心率下降,运动耐力提高约 49%,这直接反映了出汗功能与运动表现、健康耐受性之间的正向关系。
因此,容易出汗并非身体素质差,而是体温调节灵敏、血液循环和汗腺功能良好的信号。
但需要注意的是,如果出汗异常频繁、伴有夜间盗汗或影响日常生活,就要排除原发性或继发性多汗症等病理情况。
总结:
健康从来不止于外表的线条美,而在于身体内部是否运转良好。体毛、大腿围、骨架大小、胸部体积、出汗……这些看似身材上的缺陷,其实背后都对应着不同的健康意义。
真正的美,从不是迎合别人眼中的标准,而是身体自在、心态笃定所散发出的健康光彩。
参考文献
[1]THE STRUCTURE AND FUNCTION OF HAIR. (2025). EduVision: Journal of Innovations in Pedagogy and Educational Advancements, 1(5), 426-437.
[2]Liu J, Jin X, Feng Z, et al. The association of central and extremity circumference with all-cause mortality and cardiovascular mortality: a cohort study. Front Cardiovasc Med. 2023;10:1251619.
[3]Garn SM, Pesick SD, Hawthorne VM. The bony chest breadth as a frame size standard in nutritional assessment. Am J Clin Nutr. 1983 ;37(2):315-8.
[4]Chumlea WC, Wisemandle W, Guo SS, et al. Relations between frame size and body composition and bone mineral status. Am J Clin Nutr. 2002;75(6):1012-6.
[5]Aref Y, Bono CM, Najafian A. Back pain in patients with macromastia: what a spine surgeon should know? Spine J. 2025;25(3):403-410.
[6]Pocock KS, Laikhter E, Hardy BW, et al. Enlarged Breast Size (Macromastia) and Associated Neurologic Risks: A Scoping Review. Neurology. 2024;103(3):e209660.
[7]Zieliński G, Filipiak Z, Suwa?a M, et al. Bust size and pain of the musculoskeletal system – a literature review. Med Og Nauk Zdr. 2019;25(1):44-47.
[8]Klous L, De Ruiter C, Alkemade P, et al. Sweat rate and sweat composition during heat acclimation. J Therm Biol. 2020;93:102697.
[9]Baker LB. Physiology of sweat gland function: The roles of sweating and sweat composition in human health. Temperature (Austin). 2019;6(3):211-259.
[10]McDonald P, Brown HA, Topham TH, et al. Influence of Exercise Heat Acclimation Protocol Characteristics on Adaptation Kinetics: A Quantitative Review With Bayesian Meta-Regressions. Compr Physiol. 2025;15(3):e70017.
策划制作
作者丨蒋永源 第三军医大学内科硕士
审核丨唐芹 中华医学会科普专家委员会副秘书长 研究员 国家健康科普专家
徐敏 天津医科大学代谢病医院皮肤科副主任医师 天津市医学会皮肤性病学分会委员
兰义兵 浙江大学医学院附属妇产科医院副主任医师 中华预防医学会生育力保护分会青年委员会委员
策划丨钟艳平
责编丨钟艳平
审校丨徐来、张林林








